|
|
Biologie Moléculaire |
Rév A |
|
Sommaire
I - Objet
III - Documents de référence
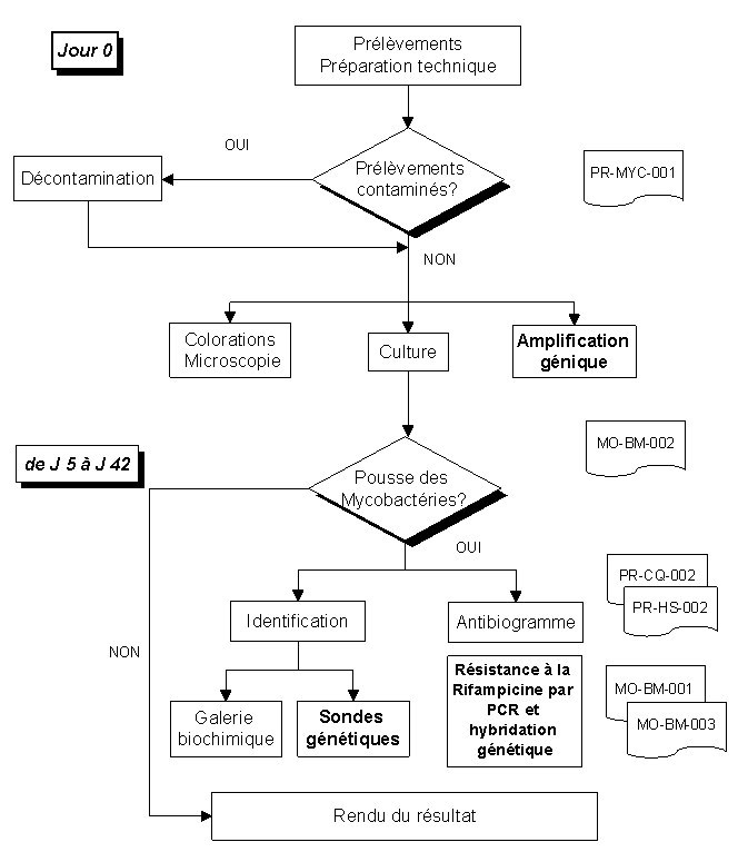
IV - Organigramme du poste de travail des mycobactéries
Rédigé par:
Date:
Signature
Vérifié par :
Date :
Signature
Approuvé par:
Pour application le
Signature
Cette procédure a pour objet de détailler les modalités de mise en évidence et d'identification des mycobactéries par les techniques d'amplification génique et par les techniques d'hybridation avec des sondes nucléiques.
Cette procédure s'applique à l'ensemble des techniciens(nes), internes, biologistes du laboratoire.
Guide de Bonne Exécution des Analyses. Arrêté du 2 novembre 1994.
Nomenclature / Extrait du JO du 28 avril 1995 (chap 16 et 16-1)

V - Documents associés
- Modes opératoiresMO-BM-001 : Identification des mycobactéries par sondes nucléiques.MO-BM-002 : Identification des mycobactéries par amplification génique.
MO-BM-003 : Détection de la résistance des mycobactéries à la Rifampicine.
- Procédures associées
PR-MYC-001: Procédure générale : traitement des prélèvements pour l'étude des mycobactéries.PR-CQ-002 : Contrôle de Qualité.
PR-HS-002 : Hygiène et sécurité.
PR-DC-001 : Elimination des déchets.